ZWO ASI 585MM Astronomy Camera
RM 2,050.00

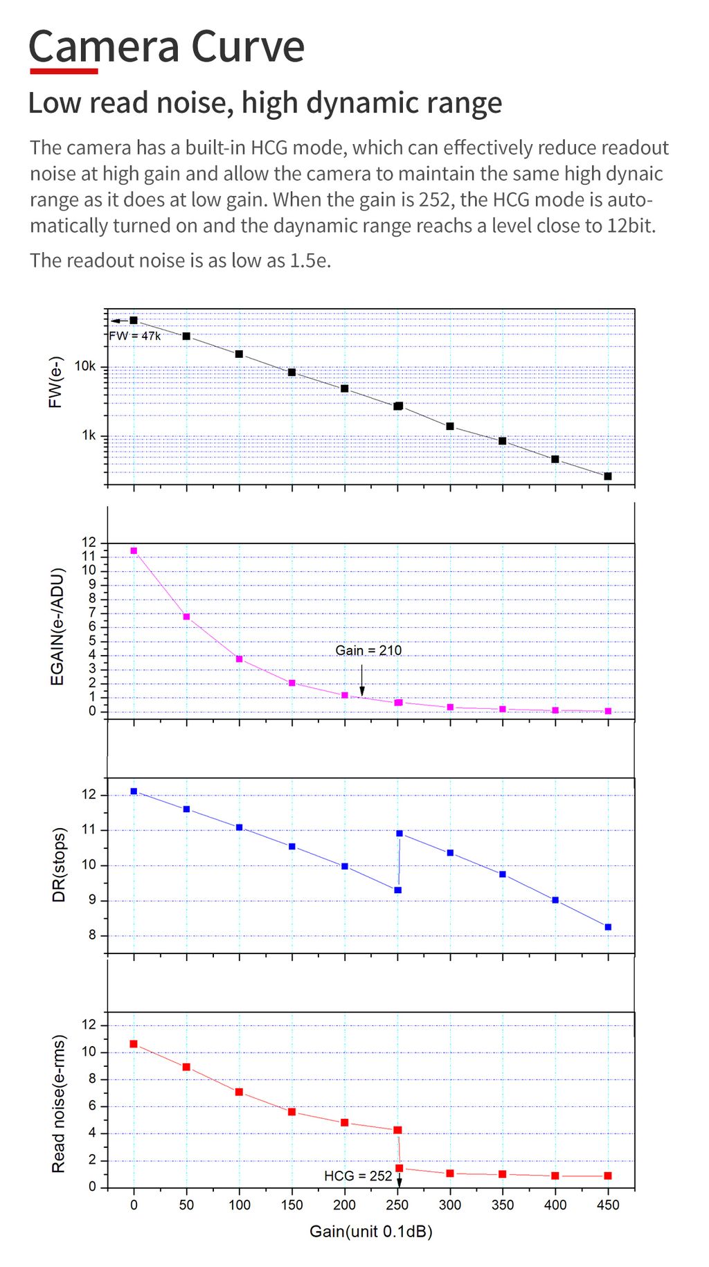
ASI585MM
Camera technical details
Sensor: 1/1.2″ CMOS Sony-IMX585AAQJ1-C
Bayer Pattern:R Gr Gb B
QE peakļ¼91%
Back focus length: 6.5mm/17.5mm
Max fps: 46.9fps
Full well: 40Ke
Shutter: Rolling shutter
Resolution: 8.29Mega Pixel,3840*2160
Pixel Size: 2.9µm
Exposure Range: 32μs~2000s
Interface: USB 3.0 /USB 2.0 Type-B
Protect window: φ32-2 AR
ADC: 12bit
Dimension: 11.136mm*6.264mm
Weight: 126g
Working Temperature: -5ā~50ā
Storage Temperature: -10ā~60ā
Working Relative Humidity: 0-80%
Supported OS: WIN7/8/10 32&64ćLinuxćMac














